Association Rule
- 데이터 속에서 상호 연관 관계를 찾을 수 있다.
- 기존 데이터를 기반으로 Association rule (연관규칙) 을 만드는 것
1.정의
- minimum support 와 minimum confidence 값을 넘는 Rule을 찾는 과정
- 데이터에서 흥미로운 관계를 찾는 Rule-based 기법
- 특정 measure를 통해 interestingness를 평가하여 strong rules를 찾는 과정
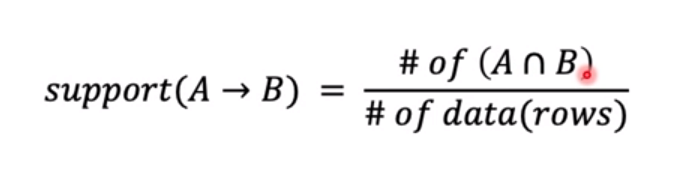
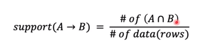
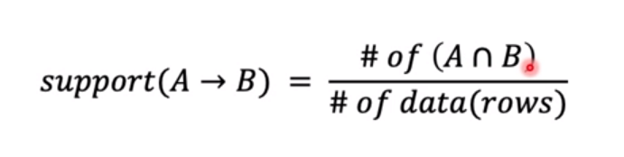
2. association rule의 support(지지도)

- 데이터 관계 설정을 위해 아이템이 동시에 발생할 확률
- 전체 데이터 중 규칙(A,B)를 포함하는 데이터 비율 (A,B 동시 구매)
- 0과 1사이의 값이고 1에 가까울수록 A와 B의 관계가 중요하고 0에 가까우면 중요하지 않은 연관 관계라는 의미
- A->B , B-> A 의 sequential 한 인과 관계는 파악하기 어려움 , 그래서 등장한 것이 Confidence
3. association rule의 confidence (신뢰도)

- 특정 아이템 A가 선택된 상태에서 다른 아이템 B를 선택할 확률
- (A,B)의 관계를 가정하고 , A를 선택한 사람이 B를 선택할 확률
- 1에 가까울 수록 A는 B에 많은 영향을 받음 -> minimum support중 가장 큰 confidence를 선택한다
- 서포트값을 어느정도 채우는 미니멈 서포트 중에 confidence가 가장 큰 것을 보는 것이 중요
4. Association Rule의 Lift(향상도)

- (A,B)의 관계를 직접적으로 나타내는 measurement (수치)
- 1보다 크면, 이어서 B를 선택할 확률이 높고, 1보다 작다면 확률이 높지 않다.
- lift(A -> B) < 1: 상호 대체 -> A와 B는 반비례
- lift(A -> B) >1 : 상호 보완 -> A와 B는 정비례
- lift(A ->B) =1 :독립 -> A와 B는 서로에게 영향을 끼치지 않음
5. 예시

반응형
'Recomendation System' 카테고리의 다른 글
| Matrix Factorization 적용 - SGD , ALS (0) | 2023.03.07 |
|---|---|
| Latent Factor model (0) | 2023.03.07 |
| 추천 시스템 설계 구성안 (Tmall) (0) | 2022.09.22 |
| Collaborative Filtering (0) | 2021.06.17 |